机器学习-逻辑回归

文章发布时间:

最后更新时间:

文章总字数:
913

预计阅读时间:
3 分钟

逻辑回归

一.概念

逻辑回归是一种分类算法,其内部有回归算法(本质上只是线性回归加了一个sigmod激活函数),但解决的是分类问题。

二.原理

sigmod函数本质把传入的数据变成概率。sigmod也是一种复合即非线性函数,从图像也能看出。

实际上二分类问题中,预测的标签只有两种,而sigmod将线性回归函数的输出转换为一个[0,1]的值,每个转换的值就会与二分类标签0,1有误差,也就可以据此计算误差。

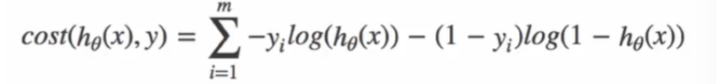
首先要明白,MSE是可以用在分类问题上的,但是是很慢的,一般都不用。所以就有了下面的方法:

考虑到每种标签对应的损失不同,综合下来的二分类损失函数就是(二分类交叉熵损失函数):

把所有样本的损失值加起来,就是综合的损失。之后只需要慢慢把总损失慢慢减小,就可以让二分类预测的两个类别都预测的更准确。

逻辑回归背后的原理:

针对一条新数据,我们会选取概率最大的那个类别作为它的类别。

API:

sklearn.linear_model.LogisticRegression()

参数:

  • fit_intercept: bool, default=True 指定是否计算截距

  • max_iter: int, default=100 最大迭代次数。迭代达到此数目后,即使未收敛也会停止。

模型对象:

  • .coef_ 权重

  • .intercept_ 偏置

  • predict()预测分类

  • predict_proba()预测分类(对应的概率)

  • score()准确率

这里进行w权重计算使用的是编程内的 X 乘(对应位置相乘),而非数学上的矩阵乘法,因此w一般是横着写的。

1
2
3
4
5
6
7
8
9
10
11
12
13
14
15
16
17
18
19
20
21
22
23
24
25
26
27
28
29
30
31
32
33
34
35
36
37
38
39
40
41
42
43
44
45
46
47
48
49
50
51
52
53
54
55
56
57
58
59
60
61
62
63
64
65
66
67
68
69
70
71
72
73
74
75
76
77
78
79
80
81
82
83
84
85
86
87
# 逻辑回归 加载鸢尾花数据集,进行回归预测
from sklearn.model_selection import train_test_split
from sklearn.preprocessing import StandardScaler
from sklearn.linear_model import SGDRegressor,LogisticRegression
from sklearn.metrics import mean_squared_error
import numpy as np
import math
import time
import os
import joblib

from sklearn.datasets import load_iris
iris= load_iris()

# 若本地有模型,选择获取
model_path=os.path.join(os.path.dirname(__file__),'../model',"luoji_model.pkl")
transfer_path=os.path.join(os.path.dirname(__file__),'../model',"luoji_transfer.pkl")

model=None
transfer=None

# 根据模型再本地是否存在,选择两种模型加载方式
if os.path.exists(model_path):
model=joblib.load(model_path)
transfer=joblib.load(transfer_path)
else:
model=LogisticRegression(fit_intercept=False,max_iter=100)
transfer=StandardScaler()

# 划分训练集与测试集
x_train, x_test, y_train, y_test = train_test_split(iris.data, iris.target, random_state=22)

x_train = transfer.fit_transform(x_train)
x_test = transfer.transform(x_test)

# 定义超参数
batch_size = 32 # 批量大小
epochs = 100 # 迭代次数


# 批次数量,向上取整
n_batches = math.ceil(len(x_train) / batch_size)

# 这个循环是迭代次数的体现
for epoch in range(epochs):
# 随机打乱样本顺序
indices = np.arange(len(x_train))
np.random.shuffle(indices)
start_time = time.time()


# 这个循环是为了把每个批次都取一遍,因为把所有数据都取一次才算一次迭代epoch
for i in range(n_batches):
start_idx = i * batch_size
# 因为最后一批可能不足一个batch_size,所以要用min函数
end_idx = min((i + 1) * batch_size,len(x_train))
batch_indices = indices[start_idx:end_idx]
X_batch = x_train[batch_indices]
y_batch = y_train[batch_indices]
model.fit(X_batch, y_batch) # 更新模型权重

score = model.score(x_test, y_test)
# 打印每一轮的评分与训练时间
print(f"训练轮次:{epoch} / {epochs}, score:{score}, 训练时间:{time.time() - start_time}s")

# 保存模型
joblib.dump(model,model_path)
joblib.dump(transfer,transfer_path)

# 得出模型
print("权重系数为:\n", model.coef_) #权重系数与特征数一定是同样的个数。

# 模型评估
y_predict = model.predict(x_test)
error = mean_squared_error(y_test, y_predict)
print("均方误差为:\n", error)

# 预测
def detect():
model=joblib.load(model_path)
transfer=joblib.load(transfer_path)
x_true=[[0.1,0.2,0.3,0.4]]
x_true=transfer.transform(x_true)
print(model.predict(x_true))

if __name__ == '__main__':
detect()